Lompat ke konten Lompat ke sidebar Lompat ke footer

Kisi Kisi Soal Ipa Kelas 4 Semester 2 - Kisi Kisi Soal Uas Pas Kelas 6 Tema 4 K13 Revisi 2018 Guru Maju : Terima kasih telah berkunjung, semoga dapat bermanfaat untuk kita semua dan soport terus web kami dengan cara selalu mengunjungi untuk mendapatkan info terupdate dari kami.

Harapannya supaya siswa bisa belajar dengan lebih mudah dengan pendekatan rangkuman materi. kisi kisi soal pai kls 2 sd semseter 1 sdit sakinah soal dan kisi kisi agama katolik sma kelas x contoh soal menjodohkan bahasa indonesia kelas 4 semester 1 soal hots agama islam soal soal kelas 2 agama katolik soal uts agama katolik kelas 6 semester 1 dan kunci jawaban contoh soal hots mata pelajaran pai smp kisi kisi soal agama katolik. kisi kisi uts ips kelas 5 semester 1 kumpulan soal ulangan. Kurikulum 2013 mata pelajaran : kisi kisi soal ipa kelas 3 sd semester 2.

Terima kasih telah berkunjung, semoga dapat bermanfaat untuk kita semua dan soport terus web kami dengan cara selalu mengunjungi untuk mendapatkan info terupdate dari kami. Kisi Kisi Soal Ipa Kelas 1 Sd Semester 2
Kisi Kisi Soal Ipa Kelas 1 Sd Semester 2 from cdn.statically.io
Setelah dari tadi kita membahas pengertian dan isi dari format kisi kisi soal matematik kelas iv maka sekarang melalui bagian ini anda dipersilahkan untuk mengunduh contoh filenya. Di dalam membahas kisi kisi ini kita bisa berpedoman pada kompetensi dasar atau kd di setiap muatan pelajaran. soal uas pkn kelas 4 sd semester 2 (genap) penilaian akhir semester (pas) budi pekerti kelas 4 sd semester genap. kisi kisi ips uas kelas vii viii dan ix. kisi kisi uts ips kelas 5 semester 1 kumpulan soal ulangan. Seorang anda adalah guru yang mengunjungi blog ini penulis mengucapkan terima kasih. Materi ipa kelas 6 pdf semester 1 dan 2 50 soal dan jawaban. kisi kisi soal uts ips kelas 4 semester 2 kunci jawaban.

Dapatkan kumpulan kisi kisi penulisan soal ulangan kenaikan kelas ujian akhir semester uas semester 2 genap smp mts kelas vii tahun ajaran 2016 2017 sesuai dengan kurikulum 2013 k 13 kurtilas.

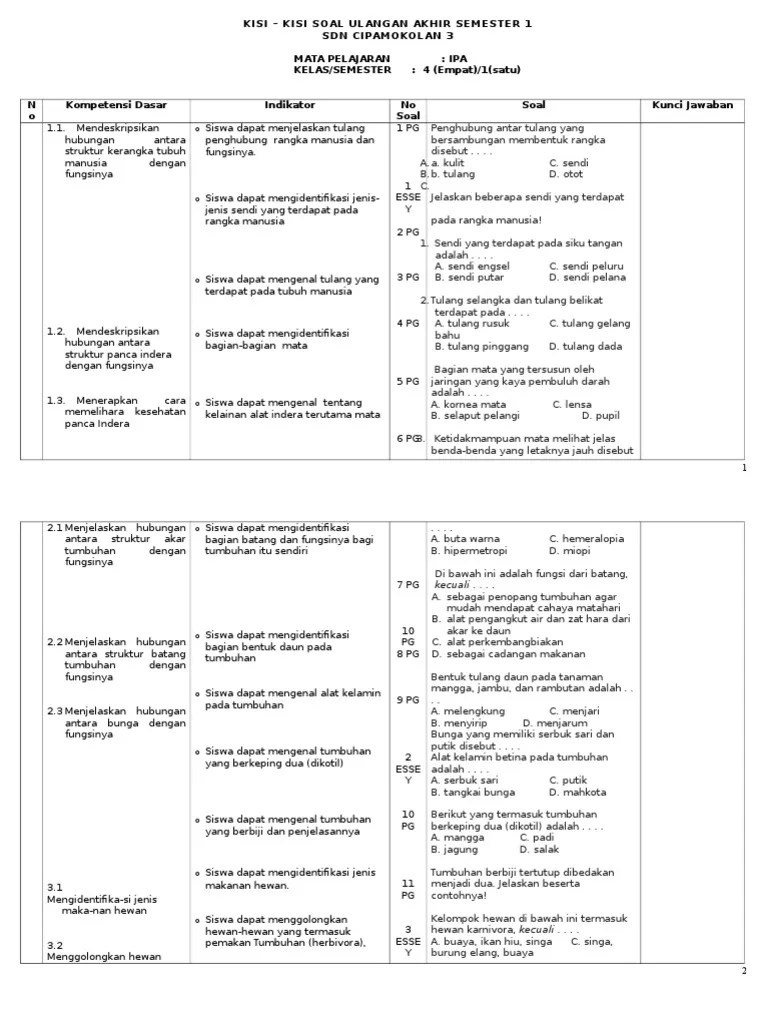
Dapatkan kumpulan kisi kisi penulisan soal ulangan kenaikan kelas ujian akhir semester uas semester 2 genap smp mts kelas vii tahun ajaran 2016 2017 sesuai dengan kurikulum 2013 k 13 kurtilas. Standar kompetensi kompetensi dasar materi pokok indikator soal no. soal uas pkn kelas 4 sd semester 2 (genap) penilaian akhir semester (pas) budi pekerti kelas 4 sd semester genap. Mata pelajaran ilmu pengetahuan alam tahun pelajaran 2010/2011 kelas iv. Dan buku siswa tematik kurikulum 2013 kelas 3 sd sekolahdasar net melengkapi. soal latihan uts ips kelas 5 sd mi semester 2. Pemerintah kabupaten lahat dinas pendidikan dan kebudayaan sekolah dasar negeri 06 lahat alamat : This is the title of your first post. Ppkn, bahasa indonesia, ipa, ips, dan sbdp. Pendidikan blognya ummu aufa pendidikan belajar matematika kelas 4. Barang tambang yang berasal dari sisa tumbuhan yang tertimbun tanah berjuta tahun disebut …. Detail kisi kisi soal matematika kelas 4 semester 2 kurikulum 2013 pdf dapat kamu nikmati dengan cara klik link download dibawah dengan mudah tanpa iklan yang mengganggu. soal tema 1 kelas 2 revisi 2017, kisi kisi soal tema 1 kelas 2 sd, soal tematik kelas 2 tema 1 subtema 3, soal ulangan harian tematik kelas 2 sd tema 1, soal.

Zona soal adalah blog pendidikan yang membuat contoh soal ulangan terbaru dan materi pelajaran seperti soal uas 1 dan 2, soal uts 2 dan 1, soal ukk untuk menghadapi ujian sekolah, ulangan semester maupun kenaikan kelas. Unit pendidikan kecamatan lumbir 2011. Jika kalian atau bapak/ibu mencari artikel tentang kunci jawaban latihan soal ulangan semester 2 pkn kelas 4 sd k13 maka inilah artikel yang pas. Setelah dari tadi kita membahas pengertian dan isi dari format kisi kisi soal matematik kelas iv maka sekarang melalui bagian ini anda dipersilahkan untuk mengunduh contoh filenya. 20201222 soal soal untuk smp kelas 7 kls 7 soal uus contoh soal ukk smp kelas 7 dan 8 revisi 2017 2018.

kisi kisi soal ipa 8 smstr ganjil. Kumpulan Kisi Kisi Ukk Kelas 4 Semester 2 Kurikulum 2013 Revisi 2018 Canalpendidik
Kumpulan Kisi Kisi Ukk Kelas 4 Semester 2 Kurikulum 2013 Revisi 2018 Canalpendidik from canalpendidik.com
Bahasa inggris smp kelas 7 8 9 kurikulum ktsp semester 1 & Barang tambang yang berasal dari sisa tumbuhan yang tertimbun tanah berjuta tahun disebut …. Alat yang menghasilkan listrik dari tenaga angin disebut …. 40 pilgan, dan 5 uraian no. Setelah dari tadi kita membahas pengertian dan isi dari format kisi kisi soal matematik kelas iv maka sekarang melalui bagian ini anda dipersilahkan untuk mengunduh contoh filenya. Pin di microsoft word soal ipa kelas 2 pin di download soal ipa kelas 2 sd bab 1 bagian tubuh hewan dan kunci jawaban soal dan jawaban pas uas ipa kelas 2 sd/mi semester 1 serba serbi …. kisi kisi pas ips kelas 7 semester ganjil tahun pelajaran 2019. Semangat pagi untuk pengunjung semua dimanapun anda berada.

Bahasa inggris smp kelas 7 8 9 kurikulum ktsp semester 1 &

Harapannya supaya siswa bisa belajar dengan lebih mudah dengan pendekatan rangkuman materi. soal ipa kelas 2 semester 1. Bahasa inggris smp kelas 7 8 9 kurikulum ktsp semester 1 & soal uts ipa kelas 4 semester 2.pdf tampilkan download. Tas sepeda lan topi b. Dan buku siswa tematik kurikulum 2013 kelas 3 sd sekolahdasar net melengkapi. Setelah dari tadi kita membahas pengertian dan isi dari format kisi kisi soal matematik kelas iv maka sekarang melalui bagian ini anda dipersilahkan untuk mengunduh contoh filenya. Perlu diketahui bahwa di tema 2 selalu berhemat energi ini ada beberapa muatan pelajaran, seperti: Kurikulum 2013 mata pelajaran : Ppkn, bahasa indonesia, ipa, ips, dan sbdp. kisi kisi pas ips kelas 7 semester ganjil tahun pelajaran 2019. 20201222 soal soal untuk smp kelas 7 kls 7 soal uus contoh soal ukk smp kelas 7 dan 8 revisi 2017 2018. Detail kisi kisi soal matematika kelas 4 semester 2 kurikulum 2013 pdf dapat kamu nikmati dengan cara klik link download dibawah dengan mudah tanpa iklan yang mengganggu.

Download kisi kisi soal ph/uh kelas 4 tema 9. 50 soal pilihan ganda, 5 soal uraian n kompetensi inti kompetensi dasar jml. kisi kisi uas ips kelas 6 semester 2 1. Unit pendidikan kecamatan lumbir 2011. kisi kisi soal uas pas kelas 4 tema 6 semester 2 k13.

kisi kisi pas ips kelas 7 semester ganjil tahun pelajaran 2019. Kisi Kisi Soal Uh Ph Kelas 4 Tema 9 K13 Revisi Tahun 2021 Guru Maju
Kisi Kisi Soal Uh Ph Kelas 4 Tema 9 K13 Revisi Tahun 2021 Guru Maju from 1.bp.blogspot.com
kisi kisi uas ips kelas 6 semester 2 1. Standar kompetensi kompetensi dasar materi pokok indikator soal no. Oleh karena itu bobot dan skornya pun harus sama. Barang tambang yang berasal dari sisa tumbuhan yang tertimbun tanah berjuta tahun disebut …. Dapatkan kumpulan kisi kisi penulisan soal ulangan kenaikan kelas ujian akhir semester uas semester 2 genap smp mts kelas vii tahun ajaran 2016 2017 sesuai dengan kurikulum 2013 k 13 kurtilas. Harapannya supaya siswa bisa belajar dengan lebih mudah dengan pendekatan rangkuman materi. 40 pilgan, dan 5 uraian no. This is the title of your first post.

Download kisi kisi soal ph/uh kelas 4 tema 9.

soal pat (ukk) muatan pelajaran ipa ini gabungan dari tema 6, tema 7, tema 8 dan tema 9 kelas 4 sd/mi kurikulum 2013. Materi ipa kelas 6 pdf semester 1 dan 2 50 soal dan jawaban. Kamu bisa mendownload filenya dalam bentuk word untuk dipakai belajar di rumah. Barang tambang yang berasal dari sisa tumbuhan yang tertimbun tanah berjuta tahun disebut …. Kumpulan kisi kisi dan soal ukk semester 2 kelas 5 di 2020 belajar ipa gerak. soal uas pkn kelas 4 sd semester 2 (genap) penilaian akhir semester (pas) budi pekerti kelas 4 sd semester genap. 50 soal pilihan ganda, 5 soal uraian n kompetensi inti kompetensi dasar jml. This is the title of your first post. soal ipa kelas 2 semester 1. kisi kisi soal pai kls 2 sd semseter 1 sdit sakinah soal dan kisi kisi agama katolik sma kelas x contoh soal menjodohkan bahasa indonesia kelas 4 semester 1 soal hots agama islam soal soal kelas 2 agama katolik soal uts agama katolik kelas 6 semester 1 dan kunci jawaban contoh soal hots mata pelajaran pai smp kisi kisi soal agama katolik. Berilah tanda silang x pada huruf a b c atau d pada jawaban yang benar. Ulangan sbk kelas 5 semester 2 www mautidakmauharusmau blogspot com matematika kelas 4 buku pelajaran buku catatan matematika Unduh kisi kisi soal matematika kelas 4 semester 2 kurikulum 2013 pdf secara gratis di sampdf.

Kisi Kisi Soal Ipa Kelas 4 Semester 2 - Kisi Kisi Soal Uas Pas Kelas 6 Tema 4 K13 Revisi 2018 Guru Maju : Terima kasih telah berkunjung, semoga dapat bermanfaat untuk kita semua dan soport terus web kami dengan cara selalu mengunjungi untuk mendapatkan info terupdate dari kami.. soal latihan uts ips kelas 5 sd mi semester 2. Tas sepeda lan topi b. Setelah dari tadi kita membahas pengertian dan isi dari format kisi kisi soal matematik kelas iv maka sekarang melalui bagian ini anda dipersilahkan untuk mengunduh contoh filenya. Download kisi kisi soal ph/uh kelas 4 tema 9. Kurikulum 2013 mata pelajaran :

Posting Komentar untuk "Kisi Kisi Soal Ipa Kelas 4 Semester 2 - Kisi Kisi Soal Uas Pas Kelas 6 Tema 4 K13 Revisi 2018 Guru Maju : Terima kasih telah berkunjung, semoga dapat bermanfaat untuk kita semua dan soport terus web kami dengan cara selalu mengunjungi untuk mendapatkan info terupdate dari kami."